Los armónicos en un sistema eléctrico se definen como ondas de corriente y tensión que tienen una frecuencia múltiplo de la frecuencia fundamental (50/60 Hz), la cual es la frecuencia con la que normalmente se genera, transforma, transmite y distribuye la energia eléctrica.
La aparición de armónicos se produjo en la década de los años sesenta, del siglo pasado, cuando se empezaron a construir mandos de electrónica de potencia que regulaban la cantidad de energía eléctrica hacia cargas presentes en empresas industriales. Estos elementos al ser no lineales provocaban deformaciones en las ondas de tensión y corriente, debido a que generaban pulsos y ondas no sinusoidales. A partir de estos años, miles de industrias empezaron a incorporar nueva maquinaria, que provocó serios problemas en lo que se refiere a calidad suministro de energía eléctrica.
Fuentes de armónicos
Algunas cargas no lineales fuentes productoras de armónicos son:
- Rectificadores
- UPS
- Variadores de velocidad
- Fuentes conmutadas
- Inversores
- Equipos reguladores de potencia
- Hornos de arco
- Equipos de soldadura
Estas cargas de electrónica de potencia NO lineales provocan una serie de problemas y daños en las redes eléctricas, ya que se comportan como fuentes de corriente múltiplo de la frecuencia fundamental, las cuales inyectan corrientes que distorsionan la onda y provocan muchos problemas en lo que se refiere a calidad de potencia.
Además, equipos con efectos no lineales en sus núcleos como transformadores y generadores, en muchos casos actúan como fuentes de corriente de armónicos.
1. Aparición de perdidas eléctricas por calentamiento
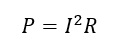
Las perdidas por Efecto Joule se definen como

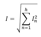
Cuando existe presencia de armónicos tenemos varias corrientes a diferentes frecuencias, además de la frecuencia fundamental, para lo cual el valor eficaz de la corriente aumenta considerando la magnitud de las corrientes armónicas.

Se puede concluir a partir de la ecuación que la corriente total es la raíz cuadrada de la sumatoria de todos los corrientes múltiplos de la corriente fundamental elevadas al cuadrado.
Por lo cual, las pérdidas totales aumentan en proporción a la cantidad de armónicos que existan, en una red eléctrica, esto trae como consecuencia una gran pérdida de potencia desde la generación hasta el uso final, ya que la potencia es proporcional a la corriente, de acuerdo a la ecuación 1.
Además, estas pérdidas no solo se verían reflejadas en las largas líneas de transmisión y distribución, también estarían presentes en maquinas eléctricas como motores y generadores. Por ejemplo, los transformadores de potencia y de distribución presentan calentamiento en los bobinados, debido a la presencia de resistencias en los mismos. Este calentamiento se traduce en que la capacidad total de los transformadores de potencia no se pueda utilizar al máximo, provocando un derrateo en estos.
2. Sobrecarga en los conductores de neutro
Tomemos como referencia un sistema trifásico conectado en estrella.

En un sistema trifásico de 3 fases 4 hilos, balanceado, la corriente que circulará por neutro será de 0 [A], esto solo cuando la magnitud de corriente y voltaje sea igual en todas las fases y estén desplazadas 120° entre sí.


Pero, en muchos casos se presentan desequilibrios debido a que no se hace una correcta distribución de cargas, por lo cual existe una circulación de corriente a través del neutro. Si a esta corriente le sumamos corrientes armónicas producidas por cargas no lineales, existe el riesgo de sobre carga el neutro, lo cual podría llegar a conducir a una ruptura de este, o en un caso más grave un sobre calentamiento e incendio.


Cuando hay presencia de armónicos en una red eléctrica, si bien muchas de las corrientes armónicas son canceladas por el neutro, se ha evidenciado que los armónicos múltiplos del orden 3, al ser componentes homopolares, circulan por el neutro. En ejemplo de ello es cuando tenemos para el armónico 3, una corriente de 10[A] por fase, estas corrientes se superponen en el neutro produciendo una circulación de corriente de 30 [A].

Armónicos de secuencia cero o homopolar (3,6,9…) corresponden a todos los múltiplos de 3.
Entonces, dado el desbalance de corrientes y la presencia de armonicos múltiplos de 3, la corriente del neutro total será dada por la siguiente ecuación.

Por lo tanto, la corriente total circulante por el neutro total es la corriente de desequilibrio más la corriente de los armónicos múltiplo de 3. Para lo cual si no se hace un correcto dimensionamiento y elección de este conductor de neutro, la corriente circulante será mayor a la corriente nominal y superará los limites térmicos para los cuales fue fabricado este conductor, teniendo como riesgo un daño en su aislamiento y un posible incendio.
3. Facturación errónea, operación errónea (medidores, interruptores y relés de protección)
La presencia de armónicos en equipos de medición de energía para facturación, puede verse realmente alterada por la presencia de estos, ya que los TCs y PTs no ven solo las corrientes y tensiones a la frecuencia fundamental, sino un valor eficaz alterado, generalmente mayor. Esto en la mayoría de los casos ocasiona un error en los medidores electrónicos y electromecánicos.
Por otro lado, la forma de onda de corriente distorsionada en fusibles e interruptores provoca que estos visualicen un valor eficaz erróneo, lo que puede conducir a que actúen como protección, a pesar de no existir una condición de falla en la red eléctrica, es decir pueden causar una falsa operación.
4. Vibración en máquinas eléctricas
Se ha evidenciado que una de las causas de vibración en las maquinas eléctricas son los armónicos, en máquinas como motores de inducción, motores síncronos y generadores síncronos. Esto reduce significativamente la vida útil de estos equipos, ya que una vibración excesiva provoca un desgaste en los rodamientos y componentes mecánicos en el interior. Este problema se pueden intensificarse si, por ejemplo, los anillos de rodamiento se dañan, ya que estos a su vez hacen que se rompan los dientes en los engranajes y correas giratorias.
5. Daño frecuente en bancos de condensadores
Dado que la reactancia de un condensador es inversamente proporcional a la frecuencia, esta decrece a medida que aumenta la frecuencia.

Esto provoca que circulen grandes cantidades de corriente por los capacitores. Además, si la frecuencia de algún armónico coincide con la frecuencia de resonancia del banco de condensadores y la reactancia inductiva, se originan grandes sobre corrientes si se trata de una resonancia en serie, o sobre tensiones si se trata de una resonancia en paralelo.
6. Otros problemas
Los problemas mencionados anteriormente son los más comunes cuando hay contaminación armónica, sin embargo, vale la pena mencionar algunos otros problemas como lo son:
- Envejecimiento prematuro de componentes electrónicos y mecánicos
- Averías en tarjetas electrónicas
- Desconexiones de cargas inesperadas
- Problemas de fiabilidad en las UPS
- Mal funcionamiento de equipos sensibles como ordenadores y máquinas de control numéricos.
Solución a los problemas de armónicos
La instalación de uno o varios filtros activos reduce drásticamente la distorsión de la corriente y la tensión, y elimina los problemas de los consumidores más sensibles.
Estos filtros eliminan los armónicos de corriente en el sistema midiéndolos primero e inyectando después las mismas corrientes, pero en oposición de fase.
Los filtros activos de GAL ELECTRIC son la solución a todos estos problemas. Si necesita instalar un filtro de armónicos activo, o necesita asesoría sobre el control de armónicos, puede contactarnos y con gusto le ayudaremos.
